°øÁö»çÇ×

Á¦¸ñ ½Ì½ÌÇ÷¯½º(½Å¼±µµ)
ÀÛ¼ºÀÚ tawake88
Á¶È¸¼ö 3760
ÀÛ¼ºÀÏ 2018-08-20
÷ºÎÆÄÀÏ
_½Ì½ÌÇ÷¯½º-v0.5.pdf

½Ì½ÌÇ÷¯½º(½Å¼±µµ)



½Å¼±µµ À¯ÁöÈ¿°ú

- ¾ßä, °úÀÏÀÇ ¿¡Æ¿·»°¡½º(³ëÈ­À¯¹ß¹°Áú)¸¦ ºÐÇØÇÕ´Ï´Ù.

- õ¿¬ À¯·¡ Ç×±Õ¹°ÁúÀÌ ºÎÆÐ±ÕÀÇ È°¼ºÈ­¸¦ ¾ïÁ¦ÇÕ´Ï´Ù.

- ¿øÀû¿Ü¼±ÀÌ ¹æÃâµÇ¾î °õÆÎÀ̳ª ¹ÚÅ׸®¾Æ¸¦ ¾ïÁ¦ÇÕ´Ï´Ù.

- ¹Ì¼¼±â°øÀÌ ÀÖ¾î ¾ßä, °úÀÏÀÇ È£ÈíÀ» µµ¿ÍÁÝ´Ï´Ù.

- Åç·ç¿£, ÀÚÀÏ·», VOC, ³¿»õ ¼ººÐ µîÀ» ºÐÇØÇÕ´Ï´Ù.

Á¦Ç° Ư¡

- »ó¿Â Àå±âº¸°ü ½Ã¿¡µµ ÈÖ¹ß ¶Ç´Â º¯ÁúµÇÁö ¾ÊÀ½

- Àç»ç¿ëÀÌ °¡´ÉÇϸç, ÃÖÃÊ »ç¿ë ÈÄ 6°³¿ù°£ ½Å¼±µµ À¯Áö

- »ó¿Â¿¡¼­ ¿øÀû¿Ü¼±ÀÌ ¹æÃâµÇ¾î ½Å¼±µµ¸¦ À¯Áö

  ¹æ»çÀ² ¾à 0.9 (5~20§­ / 37¡É »ó¿Â ½ÇÇè)

- ½Å¼±µµ À¯Áö ¼ººÐ ÇÔÀ¯(¹Ì³×¶ö, ÀÌ¿ÂÈ­ ±Ý¼Ó, Ç×±ÕÁ¦, ´Ù°ø¼º ÈíÂøÁ¦, ¿¡Æ¿·»°¡½º ºÐÇØ Ã˸ÅÁ¦, ±â´É¼º ±¤¹° µî

Á¦Ç°°³¿ä


Àû¿ëÁ¦Ç°(»çÁøÃ·ºÎ) 

Á¦Ç°Æ¯Â¡

-»ó¿Â Àå±â º¸°ü½Ã¿¡µµ ÈÖ¹ß ¶Ç´Â º¯ÁúµÇÁö ¾ÊÀ½.

-Àç»ç¿ëÀÌ °¡´ÉÇϸç, ÃÖÃÊ»ç¿ë ÈÄ 6°³¿ù°£ ½Å¼±µµ ±â´ÉÀ¯Áö.

-»ó¿Â¿¡¼­ ¿øÀû¿Ü¼±ÀÌ ¹æÃâµÇ¾î ½Å¼±µµ¸¦ À¯Áö.

 ¹æ»çÀ² ¾à 0.9 (5~20§­/ 37¡É »ó¿Â ½ÇÇè)

-½Å¼±µµ À¯Áö ¼ººÐ ÇÔÀ¯(¹Ì³×¶ö, ÀÌ¿ÂÈ­ ±Ý¼Ó, Ç×±ÕÁ¦, ´Ù°ø¼º ÈíÂøÁ¦, ¿¡Æ¿·»°¡½º ºÐÇØ Ã˸ÅÁ¦, ±â´É¼º ±¤¹° µî)


½Å¼±µµ ¿¬Àå µî °ü·Ã ½ÃÇè °á°ú

½Å¼±µµ À¯Áö È¿°ú ¸ÞÄ¿´ÏÁò

- ¼öºÐ Á¶Àý, È£Èí·® Á¶Àý, Ç×±Õ, ¿øÀû¿Ü¼±, ¹æ´ã, ¹Ì¾àÀü·ù, ¿¡Æ¿·» °¡½º µîÀÇ º¹ÇÕ ÀÛ¿ë


Ç×±Õ, ½Å¼±µµ °ü·Ã ½ÇÇè

- ´ë»ó ½Ã·á : °íÃßÀå, µÈÀå, ¾î¹¬, »óÃß, »ç°ú, Ä¡Áî, ¿¬¾î, ½Ä»§ µî

- ½Å¼±µµ À¯Áö : »ö»ó, ÀÌÃë, °õÆÎÀÌ µî ¹Ì»ý¹°, »êµµ, pH, À°¾È°Ë»ç, Áß·®º¯È­ µîÀ» ½Ç½ÃÇÏ¿´½À´Ï´Ù.


ÁÖ¿ä ½ÇÇè°á°ú´Â ¾Æ·¡ ÂüÁ¶

->½Å¼±µµ ¿ë±â·Î Æ÷ÀåµÈ °úä·ùÀÇ Áß·® °¨¼ÒÀ² º¯È­

- ´ëÁ¶±¸ÀÎ ÀÏ¹Ý ¿ë±â¿¡ ºñÇØ Áß·®°¨¼ÒÀ² º¯È­°¡ À¯ÀÇÂ÷ ÀÖ½À´Ï´Ù.


½ÇÇè »çÁø ¹× À°¾È °Ë»ç

- ÀúÀå ½Ã°£ÀÇ Áõ°¡¿¡ µû¶ó ¼¼Æ÷º® ÆÄ±«¿¡ ÀÇÇÑ »êÆÐµµ°¡ ¹ß»ýÇÏ¿´½À´Ï´Ù. »óÃßÀÇ ¹«¸§ Çö»ó¿¡ ÀÇÇÑ ¼öºÐÀÇ ¹ß»ý·®ÀÌ ½Å¼±µµ Æ÷ÀåÀ» ÇÑ »óÃß¿¡¼­ ´õ Àû°Ô ³ªÅ¸³ª´Â °ÍÀ» º¼ ¼ö ÀÖ½À´Ï´Ù.






°³¹ß Á¦Ç°À» µÈÀå¿ë±â¿¡ Àû¿ëÈÄ ¿Âµµº° ÀúÀåÁ¶°Ç¿¡ µû¸¥ Ç¥¸é Ư¼º º¯È­

- º¸Á¸ ¿Âµµ ¹× º¸Á¸½Ã°£¿¡ µû¸¥ ¹Ì»ý¹° »ýÀ° Â÷À̰¡ È®ÀεǾú½À´Ï´Ù.




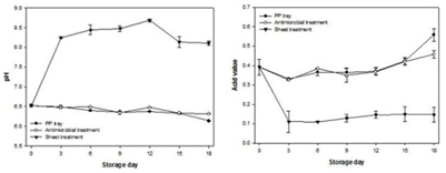
°³¹ß Á¦Ç°À» ¾î¹¬ Æ÷Àå¿¡ Àû¿ëÈÄ ÀúÀåÁß pH ¹× »ê°¡ º¯È­

- °³¹ß Á¦Ç° Àû¿ë Æ÷ÀåÀçÀÇ µ¥ÀÌÅͰ¡ ¿ì¼öÇÑ °á°ú¸¦ º¸¿©ÁÝ´Ï´Ù.




°³¹ß Á¦Ç°ÀÇ °õÆÎÀÌ, »ç»ó±Õ¿¡ ´ëÇÑ È¿°ú

- ÀÏ¹Ý Æ÷Àå ¹× ½ÃÀå Ç×±Õ Æ÷ÀåÀç ´ëºñ ¾à 1.3¹è ÀúÀå±â°£À» ¿¬ÀåÇÏ´Â È¿°ú°¡ ÀÖ½À´Ï´Ù.




°ü·Ã ³í¹® ¹ßÇ¥ µî

- ¡° Multi-degradable Food Packaging Plastics Prospect of Their Pactical Use¡±Food Engineering Process, 7(3), p134-140, 2003

- "Assessment and Applications of Multi-Degradable Polyethylene Films as Packaging Materials" Food Sci. Biotechnol., 15(1), p5-12, 2006

- ¡°¿Á´ëºÐ¸»À» ÷°¡ÇÑ »ýºÐÇØ¼º ¿ë±â°¡ µÈÀåÀÇ ÀúÀ强¿¡ ¹ÌÄ¡´Â ¿µÇ⡱

  Çѱ¹½ÄǰÀúÀåÀ¯ÅëÇÐȸ, 32Â÷ Çмú´ëȸ Æ÷½ºÅ͹ßÇ¥, p1-27, (2011. 11)

- ¡°Ç×±ÕÁ¦ÀÇ Æ÷ÀåÀç È¥ÀÔ¹æ¹ý¿¡ µû¸¥ ¾î¹¬ÀÇ ÀúÀ强 Æò°¡¡±,

  Çѱ¹½ÄǰÀúÀåÀ¯ÅëÇÐȸ, 32Â÷ Çмú´ëȸ Æ÷½ºÅ͹ßÇ¥, p1-29, (2011. 11)

- ¡°¿Á´ë÷°¡ »ýºÐÇØ¼º Æ÷Àå¿ë±â¿¡ ÀÇÇÑ °íÃßÀåÀÇ ÀúÀåÁß Ç°Áúº¯È­¡±,

  Çѱ¹½ÄǰÀúÀåÀ¯ÅëÇÐȸ, 32Â÷ Çмú´ëȸ Æ÷½ºÅ͹ßÇ¥, p1-32, (2011. 11)

- ¡°½ÄǰÆ÷ÀåÀç(¿Ë±â Æ÷ÇÔ)ÀÇ Æ¯¼º°ú À̿롱,

  (»ç)Çѱ¹Àå·ù±â¼ú¿¬±¸È¸ Ưº°°­¿¬. ¼øÃ¢±ºÀå·ù¿¬±¸¼Ò. 2012.6

- ¡°½Äǰ, ½Å¼±ÆíÀÌ ³ó»ê¹°¿ë ÀúÀå±â°£ ¿¬Àå Æ÷Àå ¼ÒÀç Æ¯¼º ¹× Æò°¡¡±,

  Æ÷ÀåÇÐȸ, 22(3), p1-7, (2016. 12)



½Å¼±µµ À¯Áö °ËÁõ

±¹°¡¿¬±¸°úÁ¦¹°

- ³ó¸²Ãà»ê½ÄǰºÎ °íºÎ°¡°¡Ä¡½Äǰ±â¼ú°³¹ß»ç¾÷ ¿¬±¸°úÁ¦

- Ä£ÇѰæ À¯»ç»ýü¸· ½ÄǰÆ÷Àå±â¼ú °³¹ß

- ½Å¼± ³ó½ÄǰÀÇ »ý¹°ÇÐÀû ¾ÈÀü¼º È®º¸¸¦ À§ÇÑ °ü¸® ½Ã½ºÅÛ

  °úÁ¦¹øÈ£ (31300-3 / 308014-3 °¡Å縯´ë À¯¿µ¼± ±³¼ö)

Çб¹½ÄǰÀúÀåÀ¯ÅëÇÐȸ ¹ßÇ¥¹°



ÀÎÁõ »çÇ×

- ³ì»ö±â¼úÀÎÁõ (ȯ°æºÎ GT-15-00152)

- ³ì»öÀü¹®±â¾÷ÀÎÁõ (ȯ°æºÎ GE16-00007)

- FDA(¹Ì±¹½ÄǰÀǾ౹)ÀÎÁõ ½Å¼±µµÀ¯Áö¹°Áú

- LFGB(µ¶ÀϽÄǰ¿ëǰ¹ý)ÀÎÁõ ½Å¼±µµÀ¯Áö¹°Áú

- ½ÌÅ©±×¸°ÀÎÁõ(TGR-P0002)